풀이
[풀이]
문제를 보면 전위 순회와 후위 순회를 나타내는 것은 어렵지 않다. 하지만, 노드의 정보를 바탕으로 그래프를 그리는게 약간 힘들다.
조건을 보면 모든 노드는 다른 x값을 갖는다.
이를 이용해 x값의 좌표에 몇번 째 노드인지 값을 저장하는 array를 하나 만들어 결과 값을 출력 할 때 사용한다.
또한 트리는 이진트리의 형태이며, 같은 레벨에 있는 좌표는 전부 같은 y 값을 갖는다.
그러므로 y값을 기준으로 노드들을 정리한 다음 레벨을 점차 낮추며 그래프를 그리면 쉽게 이진트리를 그릴 수 있다는 사실을 알 수 있다.
[아이디어 정리]
1. 이진트리의 자식 관계를 그리기 위해 y축을 기준으로 Map을 만들어 노드를 정리한다.
2. 가장 상위에 있는 부모 노드를 찾는다.
3. 이후 y축을 기준으로 레벨을 낮춰가며, 현재 노드의 부모 노드를 찾고 현재 노드가 부모노드의 왼쪽 자식인지, 오른쪽 자식인지 찾는다.
4. 이진 트리의 자식 관계를 전부 찾은 후, 전위 순회, 후위 순회 한 값을 출력한다.
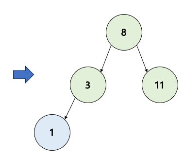
[예시]
위 예시를 보면 아래와 같이 노드를 정리할 수 있다.
[노드 레벨 별 정보]
6 : 8
5 : 3, 11
3 : 1, 5, 13
2 : 2, 7
1 : 6
이를 가장 상위 노드인 y축이 6인 노드부터 그래프를 그리면 다음과 같다.


정리된 노드의 정보를 바탕으로 값이 큰지 작은지를 비교하며 어느 쪽 자식인지 이진 트리를 쉽게 그릴 수 있다.
Code
#include <string>
#include <vector>
#include <map>
using namespace std;
map<int, vector<int>>hashmap;
vector<int> preorder,postorder;
bool flag=false;
int idxList[100001]; // x축에 어떤 idx원소가 있는지 저장
int leftChild[100001];
int rightChild[100001];
void MakePreorder(int node)
{
preorder.push_back(idxList[node]);
if (leftChild[node]!=-1){
MakePreorder(leftChild[node]);
}
if (rightChild[node]!=-1)
{
MakePreorder(rightChild[node]);
}
}
void MakePostorder(int node)
{
if (leftChild[node]!=-1)
{
MakePostorder(leftChild[node]);
}
if (rightChild[node]!=-1)
{
MakePostorder(rightChild[node]);
}
postorder.push_back(idxList[node]);
}
vector<vector<int>> solution(vector<vector<int>> nodeinfo) {
int mapKey, stNode;
fill_n(leftChild,100001,-1);
fill_n(rightChild,100001,-1);
vector<pair<int,int>> childV(nodeinfo.size()+1); //pair.first = value, second idx
for (int i=0; i<nodeinfo.size(); i++)
{
mapKey=-nodeinfo[i][1];
idxList[nodeinfo[i][0]]=i+1;
if (hashmap.find(mapKey)== hashmap.end()) // end와 같다면 키가 없음
{
hashmap[mapKey]=vector<int>(1,nodeinfo[i][0]);
}
else
{
hashmap[mapKey].push_back(nodeinfo[i][0]);
}
}
int nowValue,nowNode;
for (const pair<int,vector<int>>& pairIdx :hashmap)
{
if (!flag)
{
flag=true;
stNode= pairIdx.second[0];
}
else
{
for (int i=0; i<pairIdx.second.size(); i++)
{
nowNode=stNode;
nowValue=pairIdx.second[i];
while (true)
{
if (nowNode>nowValue) // 왼쪽자식
{
if (leftChild[nowNode]==-1)
{
leftChild[nowNode]=nowValue;
break;
}
else
{
nowNode=leftChild[nowNode];
}
}
else //오른쪽 자식
{
if (rightChild[nowNode]==-1)
{
rightChild[nowNode]=nowValue;
break;
}
else
{
nowNode=rightChild[nowNode];
}
}
}
}
}
}
MakePreorder(stNode);
MakePostorder(stNode);
vector<vector<int>> answer;
answer.push_back(preorder);
answer.push_back(postorder);
return answer;
}
Python의 dictionary는 많이 썼는데, C++ map은 많이 안 써봐서 사용하는게 가장 힘들었다;;
프로그래머스
코드 중심의 개발자 채용. 스택 기반의 포지션 매칭. 프로그래머스의 개발자 맞춤형 프로필을 등록하고, 나와 기술 궁합이 잘 맞는 기업들을 매칭 받으세요.
programmers.co.kr
'Algorithm > 프로그래머스' 카테고리의 다른 글
| [프로그래머스/C++] 가장 먼 노드 (0) | 2024.01.06 |
|---|---|
| [프로그래머스/C++] 이중우선순위큐 (0) | 2024.01.06 |
| [프로그래머스/C++] 뒤에 있는 큰 수 찾기 (0) | 2024.01.06 |
| [프로그래머스/C++] 연속된 부분 수열의 합 (0) | 2024.01.06 |
| [프로그래머스/C++] 에어컨 (feat.Python) (0) | 2024.01.06 |